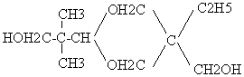
ジオキサングリコール
| 略号 | DOG |
|---|---|
| 主な用途 | UV硬化型樹脂、ポリウレタン他 |
物質の特定
| 構造式 | ![]() |
|---|---|
| 既存化学物質整理No. | (5)-5714 |
| CASNO. | 59802-10-7 |
| TSCA登録 | 有り |
| ELINCS登録 | 有り |
ジオキサングリコール(DOG)はネオペンチルグリコールの中間体から製造される特殊ポリオールで、分子内にアセタール環をもっています。

製品に関するお問い合わせ
グリーン・エネルギー&ケミカル事業部門 ハイパフォーマンスプロダクツ事業部
SCPグループ
TEL:03-3283-4808 / FAX:03-3214-0930
